Simulador sistema francés en Excel con tabla
En este artículo te compartimos un simulador en Excel basado en el sistema francés de amortización. Podrás calcular tu cuota fija mensual, ver cuánto pagas de intereses y cómo se reduce tu deuda mes a mes. Ideal para planificar y tomar decisiones con claridad.
Tabla de amortización francesa

Hazte con este simulador de sistema francés en Excel haciendo clic en el botón de abajo:
Datos de la plantilla
Qué es el sistema francés de amortización
El sistema francés es un método comúnmente utilizado para pagar préstamos personales, hipotecarios o de consumo. Sus 3 puntos clave son:
- La cuota mensual es fija.
- Los intereses son más altos al principio y bajan con el tiempo.
- La amortización del capital aumenta en cada cuota.
Así pues, al principio del préstamo se paga una mayor proporción de intereses y una menor proporción de amortización. Con el tiempo, esta relación se invierte: los intereses disminuyen y la amortización del capital aumenta.
¿Cómo funciona este Excel simulador de hipoteca?
En la hoja de cálculo encontrarás, en la parte superior izquierda, tres celdas de color amarillo donde puedes ingresar los datos del préstamo:

Sección de Entrada (celdas amarillas):
- Valor del préstamo (B2): Es el monto total del préstamo solicitado. Ejemplo: 10.000,00
- Tasa nominal anual (T.N.A.) (B3): Es la tasa anual que ofrece la entidad financiera. Ejemplo: 12%
- Cantidad de cuotas (B4): Número total de cuotas en las que se pagará el préstamo. Ejemplo: 60
Cálculos Automáticos:
- Tasa Mensual (D2): Calculada automáticamente como T.N.A. / 12. En este caso, 12% / 12 = 1%
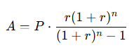
- Cuota fija (D3): Calculada con la fórmula del sistema francés:
Al ingresar estos tres datos, el simulador automáticamente calcula la tasa mensual, que resulta de dividir la tasa anual entre 12, y con ella calcula la cuota fija mensual utilizando la fórmula del sistema francés. Esta cuota permanece constante durante todo el período.
¿Qué muestra la tabla de amortización?
Debajo de las celdas de entrada se encuentra la tabla que desglosa el plan de amortización mes a mes. Por cada cuota, se muestra:
- El número de cuota.
- El capital pendiente al inicio de ese mes.
- La parte de la cuota que se destina a amortización del capital.
- La parte que corresponde a intereses del período.
- La cuota total fija, que como ya se dijo, no cambia durante el préstamo.
Por ejemplo, en la primera cuota, si el préstamo es de 10.000 € a una tasa del 12% anual y se paga en 60 cuotas, la cuota fija es de 222,44 €. De esa primera cuota, 100,00 € corresponden a intereses (calculados como el 1% mensual de los 10.000 €), y los 122,44 € restantes se usan para amortizar el capital. Al final del primer mes, el capital pendiente baja a 9.877,56 €.
Este proceso se repite cada mes. Como el capital pendiente se va reduciendo, también se reduce la cantidad de intereses que se pagan mes a mes, y por lo tanto se incrementa la parte de la cuota que se aplica a amortización.
Descargar tabla de amortización francesa
Haz clic aquí abajo para descargar tu tabla para simular tu préstamo según el sistema francés en Excel totalmente gratis.